Necktie Tech

You might have thought that the purpose of a necktie was to cover the seam in your shirt and unsightly buttons. But there is no evidence to support the theory. The purpose of neckties and the theory of the knot are discussed in The 85 Ways to Tie a Tie. The following is concerned with the theory.

Putting on a tie begins by looping it behind the neck with the broader end hanging over the right side of the chest and the narrower end hanging over the left. This is convenient for a right-handed wearer. Note that the broader end could start over the left side, tying mirror image knots, but these knots are not considered here. Normally, the back, seamed side of the tie is laid against the body, with the front, unseamed side showing. Then to begin the knot the broad end is crossed over the narrow end and is wrapped in, toward the body. The narrow end hangs straight down from the middle of the neck. In addition to this length, there are two lengths going around the neck. Between these three lengths are formed three gaps which are called the left, right and center. For all knots, the left gap is first.

There are two ways to finish a normal knot. One way has the broad end wrapping out, away from the body, from the left gap, then wrapping in, toward the body to the right gap, then wrapping out from the center gap and tucking under the left-right crossing to join the narrow end in hanging straight down. The other way is similar but has the broad end going from the right gap toward the left and tucking under the right-left crossing.

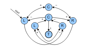
The four-in-hand knot is the most common knot. Fig. 1 represents it as a state diagram. Beginning normally, with the unseamed side showing, the broad end crosses to the left gap and points in, toward the body, indicated by the letter “L” and a circle around an “x” in Fig. 1. The first move is to wrap the broad end behind to the right gap pointing out, away from the body, indicated by the letter “R” and a circle around a dot. The second move wraps in front to the left gap, pointing in again. The third move wraps behind to the center gap and the final move tucks the tie, ending in the “T” state.
Fig. 1: Four-in-Hand Knot
Fig. 1:
              Four-in-Hand Knot

We indicate movement left to center to right to left with a “+” sign and movement in the opposite direction with a “–” sign. These directions are clockwise and counter-clockwise, respectively, in the diagrams and when the wearer is looking at the tie in a mirror. The final tuck is indicated with a letter “t.”

The half-Windsor knot is well known. Fig. 2 represents it in a state diagram. The knot begins with the same left to right move as the four-in-hand, but continues around counter-clockwise until the broad end emerges outward from the center. In addition to the final “T” state, this knot visits all of the other six states, which are each of the three gaps with the broad end pointing in and out.
Fig. 2: Half-Windsor Knot
Fig. 2:
              Half-Windsor Knot

The Windsor knot is probably the most commonly used after the four-in-hand. Fig. 3 shows this knot which begins by moving from left to center then continues around clockwise visiting all six states to emerge outward from the center again, finishing in eight moves. It is not possible to tie a knot in only two moves because there would be no left-right crossing under which to tuck the broad end.
Fig. 3: Windsor Knot
Fig. 3: Windsor
              Knot

The Nicky knot introduces the notion of inverting the tie, laying the unseamed side against the body. Inverted knots begin by crossing the broad end under the narrow end and wrapping out, away from the body. In Fig. 4, the knot is shown using the same state diagram, but starting at the opposite corner with the left gap, pointing out. Like the Windsor, this knot is entirely clockwise, but finishes in five moves.
Fig. 4: Nicky Knot
Fig. 4: Nicky
              Knot

By now these state diagrams make some obvious points about necktie knots. There are two starting positions and one ending. Before the final tuck, every move is to one of two states. There are really an infinite number of knots, each represented by a different path around the loop of six states, either by traversing the loop or doubling back, and combinations of these.

General State Diagrams

The following state diagrams recognize a tie given a sequence of moves from the initial entry points to the final “T” state. Fig. 5 shows, between tie lengths, states in the gaps at the center, left and right, with two states each for the direction the broad end is headed: away from the body, indicated by a circle around a dot, and headed toward the body, indicated by a circle around an “x.” The transitions are indicated with arrows between the states. Arrows labelled “+” indicate movement in the direction left to center to right to left, which is clockwise when the wearer is looking at the tie in a mirror. Arrows labelled “–” indicate movement in the direction right to center to left to right, which is counter-clockwise when looking at the tie in a mirror. Fig. 5 does not enforce the requirement of a final left-right or right-left crossing.
Fig. 5: Physically laid out, recognizes a tie given a normal or inverted configuration
Fig. 5: Physically laid out, recognizes a tie
              given a normal or inverted configuration

Unrolling Fig. 5 so that the directions around the knot are preserved produces Fig. 6, which is the preferred layout for representing particular ties and the layout used in the section above. Still, Fig. 6 does not enforce the requirement of a final left-right or right-left crossing.
Fig. 6: Unrolled, recognizes a tie given a normal or inverted configuration
Fig. 6: Unrolled,
              recognizes a tie given a normal or inverted configuration

Fig.7 includes extra states to ensure a final left-right or right-left crossing so that the tie is properly knotted. Nevertheless, Fig. 7 does not recognize whether the knot is normal or inverted. That must be given by the choice of entry points.
Fig. 7: Recognizes a knotted tie given a normal or inverted configuration
Fig. 7: Recognizes
              a knotted tie given a normal or inverted configuration

Fig. 8 includes yet more states to distinguish normal from inverted configuration. This state diagram has only one entry point and two terminal states and so recognizes a proper knot and its configuration. Although Fig. 8 is complete, it is really two state diagrams distinguished only because all normal knots have an even number of moves and all inverted knots have an odd number of moves.
Fig. 8: Recognizes a knotted, normal or inverted tie configuration
Fig. 8: Recognizes
              a knotted, normal or inverted tie configuration

Simplifying Fig. 8 produces Fig. 9 which recognizes a properly knotted tie but does not distinguish between normal and inverted configurations, but which can be determined by the number of moves.
Fig. 9: Recognizes a knotted tie
Fig. 9: Recognizes
              a knotted tie

Formulas from State Diagrams

The state diagram in Fig. 9 can be used to derive formulas for the number of ways to tie knots for a given number of moves. It is easier to work backwards from the final “T” state to the start “L” state. A complete knot starts with the outer “L” state and ends with the “T” state. A partial knot starts in a given state and ends in the “T” state. With zero moves, there is one partial knot, which starts and ends in the “T” state. There are no other partial knots with zero moves. Now working backwards in the state diagram, following the arrow in reverse from the “T” state, we see that there is exactly one partial knot with one move, which starts from the inner “C” state. Then there are arrows from the inner “L” and “R” states pointing to the inner “C” state, so for two moves, there is one partial knot for each of these two originating states. In general, the number of partial knots for a given state and number of moves (h) is found by following the arrows out of the state and summing the number of the partial knots of the states pointed to by the arrows for the next smaller number of moves (h – 1). The following table gives these numbers of partial knots:

Number of Partial Knots for Numbers of Moves in State Diagram of Fig. 5

Outer Inner
Moves
L
C
R
L
C
R
  T 
0
0
0
0
0
0
0
1
1
0
0
0
0
1
0
0
2
0
0
0
1
0
1
0
3
1
0
1
1
0
1
0
4
1
2
1
1
2
1
0
5
3
2
3
3
2
3
0
6
5
6
5
5
6
5
0
h
Kh Jh Kh Kh Jh Kh 0
h+1
Kh + Jh 2Kh Kh + Jh Kh + Jh 2Kh Kh + Jh 0
h+2
3Kh + Jh 2Kh + 2Jh 3Kh + Jh 3Kh + Jh 2Kh + 2Jh 3Kh + Jh 0

From the table, it is soon apparent that for a given number of moves, the number of partial knots for inner and outer “L” and “R” states are the same, and the number for inner and outer “C” states are the same. The pattern first appears for 3 moves. Is it stable every number of moves greater than 3? We hypothesize in the table, on row h, that the number of partial knots for “L” and “R” is Kh and for “C” is Jh. Then using the state diagram, we derive for h + 1, that Kh+1 = Kh + Jh for the “L” and “R” states and Jh+1 = 2Kh for the “C” states, so the pattern is stable once established. We require h ≥ 3 for these formulas. Also note that Kh+2 = 3Kh + Jh and Jh+2 = 2Kh + 2Jh and therefore Kh+2 – Jh+2 = Kh - Jh. So the difference between Kh and Jh is stable over pairs of moves.

The relationship between Kh and Jh depends on h. When h is odd, Kh – Jh = 1 so Kh+2 = 4Kh – 1. If h is even, Kh – Jh = –1 so Kh+2 = 4Kh + 1. Of course, Kh represents the number of complete knots for h moves, because it represents the number of partial knots starting from the outer “L” state. It is possible to deduce closed formulas from these recursive relations. When h is odd, Kh = (2h + 4) / 12, which satisfies the requirements that Kh+2 = 4Kh – 1 and K3 = 1. When m is even, Kh = (2h – 4) / 12, which satisfies the requirements that Kh+2 = 4Kh + 1 and K4 = 1. To cover both cases,
which gives K2 = 0, so we can allow that h ≥ 2.

The sequence for the numbers of ways to tie a knot for successive numbers of moves starting with Kh = K3 is 1, 1, 3, 5, 11, 21, 43, ... Summing numbers from this sequence starting from the beginning, the sequence for the total number of ways to tie a knot for a given number of moves, or fewer, starting with Th = T3, is 1, 2, 5, 10, 21, 42, 85, .... As expected, there are 85 ways to tie a knot with 9 or fewer moves. The sums of terms of the series based on the formula for Kh is equivalent to the sum of two geometric series, so a closed formula can be derived,
This formula directly gives T9 = 85.

Balance and Notation

As noted earlier, in tying a knot, there are only two possible moves from any point, except there is a third option to finish and tuck the tie from the center gap if the broad end is pointing out, away from the body. Except for the last tuck, two consecutive moves either proceed in the same direction or represent a doubling-back. If two moves go in the same direction, they wrap the tie neatly around the triangular knot as shown in Fig. 10.
Fig. 10: Wrapping a strip around a triangle
If two moves double-back, then this tends to wrap a cylinder around the enclosed length of tie. So there are aesthetic and practical reasons to avoid changing direction.

Before the final tuck, “t,” only two symbols are needed to express a move: “+” for clockwise and "–” for counter-clockwise. Furthermore, a sequence of  moves in the same direction can be totaled, so a Windsor knot can be expressed as the direction summary “+7 t” rather than the direction sequence “+ + + + + + + t” and more clearly than the move sequence “L C R L C R L C T.” The direction summary of the four-in-hand is “–1 +2 t.” The half-Windsor is “–5 t” and the Nicky is “+4 t.” A direction summary describes a knot compactly if it has few direction changes.

From Fig. 10 it is also clear why the hanging ends of a striped tie can never match the knot: the hanging ends are at 90° to the knot. A checked pattern can match.

Tables of Necktie Knots

Below are two tables. The first is organized as in The 85 Ways to Tie a Tie, with 9 or fewer moves. Noting that most practical ties are symmetric (left vs. right) and are balanced (have few direction changes), the second table lists knots with 12 or fewer moves with symmetry and balance limited to zero or one. There are four basic knots that are perfectly balanced (no direction changes): the inverted, counter-clockwise Oriental (–2 t), the inverted, clockwise Nicky (+4 t), the normal, counter-clockwise half-Windsor (–5 t) and the normal, clockwise Windsor (+7 t). Of these, the counter-clockwise knots have symmetry of zero; the clockwise knots have symmetry of one. Adding six more moves to any of these produces another perfectly balanced knot: “–8 t” is the Hanover. The rest are unnamed: “+10 t,” “–11 t” and “+13 t.” Etc.

Each normal knot, started with the unseamed side up, has an even number of moves and is shown with a white background in the tables. Each inverted knot, started with the seamed side up, has an odd number of moves and is shown with a gray background. The tables are generated by JavaScript.

Table Columns:
Table of Knots with Moves ≤ 9
No. Moves Centers Move
Sequence
Dir.
Tot.
Rel.
Pos.
Direction
Sequence
Direction
Summary
Symmetry Balance Knotted? Name

Table of Knots with Moves ≤ 12, Symmetry ≤ 1, Balance ≤ 1
No. Moves Centers Move
Sequence
Dir.
Tot.
Rel.
Pos.
Direction
Sequence
Direction
Summary
Symmetry Balance Knotted? Name